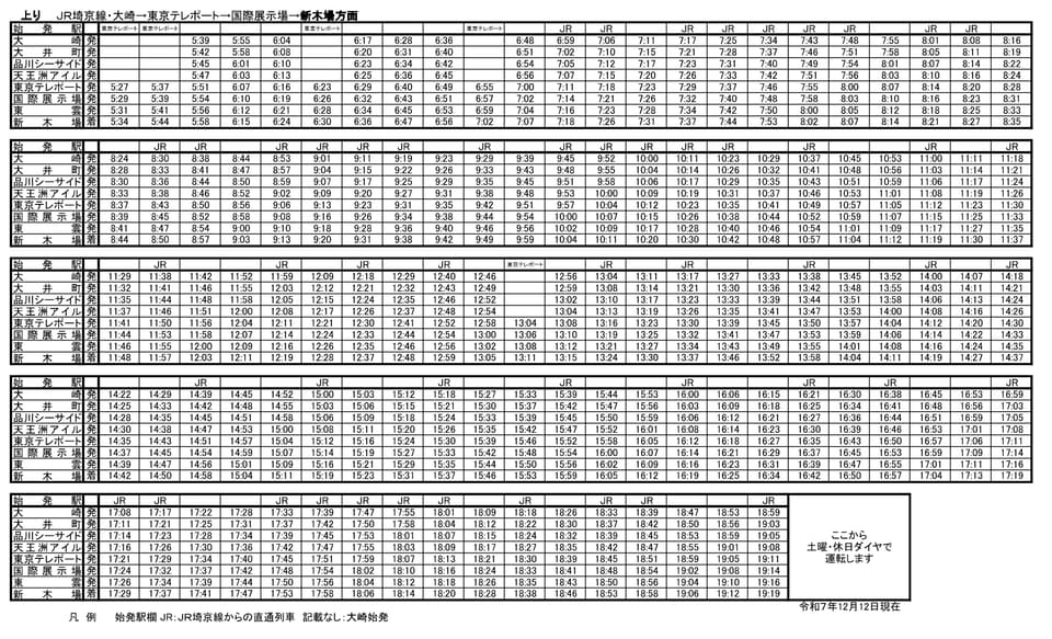
ニュース
りんかい線、12月30日・31日は臨時ダイヤ。コミケにあわせ早朝・日中に増発
2025年12月15日 14:39
- 2025年12月30日・31日 実施
ニュース
2025年12月15日 14:39
楽天トラベル 人気ランキング

別府温泉 杉乃井ホテル(オリックスホテルズ&リゾーツ)
13,400円~

リーベルホテル大阪
5,000円~

グランドメルキュール那須高原リゾート&スパ
4,176円~

グランドメルキュール浜名湖リゾート&スパ
5,022円~

グランドメルキュール淡路島リゾート&スパ
5,400円~

登別温泉 第一滝本館
10,200円~

登別温泉 ホテル まほろば
12,500円~

北陸 福井 あわら温泉 清風荘(北陸最大級の庭園露天風呂の宿 清風荘)
13,310円~

下呂温泉 水明館
8,250円~

箱根湯本温泉 天成園
10,769円~

品川プリンスホテル
6,702円~

アパホテル&リゾート〈両国駅前タワー〉(全室禁煙)
4,200円~

東京ドームホテル
8,400円~

羽田エクセルホテル東急
9,300円~

ホテル ベルクラシック東京
6,435円~