前の画像
次の画像
記事へ
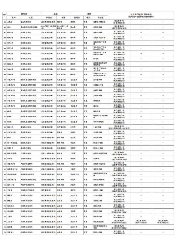
指定された踏切道
南海本線 高石駅付近、上下線とも5月22日高架化。踏切13か所撤去。高師浜線は約3年間の運休へ
2021年3月18日
東京都、補助第92号線の事業に着手。JR山手線唯一の踏切「第二中里踏切」に代わる跨線橋整備へ
2021年3月5日
東急電鉄、踏切障害物検知装置(3D式/レーザー式)の設置100%を7月に達成
2021年2月25日
東武野田線 清水公園駅~梅郷駅を3月28日高架化。踏切11か所廃止。野田市駅は2023年度に新駅舎に
2021年2月22日
JR西日本、“押して開けるだけ”で通行できる第4種踏切の半自動式踏切ゲート開発。山陰線で現地試験
2021年2月18日
JR東海、踏切の安全性対策強化。踏切や車両に2020年度から順次導入
2020年7月15日
横浜市、東海道線/京浜東北線の開かずの踏切「古市場踏切」拡幅完了
2021年6月15日
国交省、「改良すべき踏切道」に全国63か所を追加指定
2022年1月21日
人気イラストレーターいとうのいぢさん描き下ろし「かこのちゃん」、加古川市まちの魅力発信キャラクターに
2023年11月2日