前の画像
記事へ
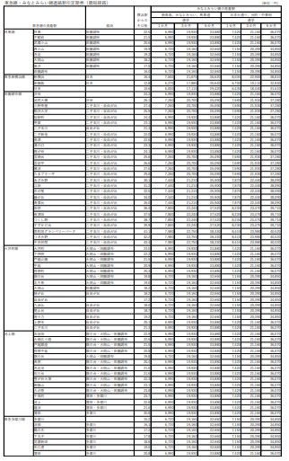
東急線・みなとみらい線連絡割引定期券(最短経路)料金表
東急電鉄、乗車金額の最大半額分を「TOKYU POINT」と「TOQ COIN」でポイントバック。2月限定
2025年1月30日
東急多摩川線と新空港線の直通運転へ。中目黒~京急蒲田が36分→23分、自由が丘~京急蒲田が37分→15分に
2025年1月17日
東急電鉄、1日最大4倍のポイントを加算。早起きでお得に通勤「東急線の朝トク!オフピークチャレンジ」
2024年12月2日
京急と都営地下鉄、クレカタッチ決済乗車で相互利用。羽田空港へアクセスしやすく
2024年12月12日
みなとみらい線、全駅でタッチ決済の実証実験。スマホ/クレカ/QRコードをかざして乗り降り
2024年11月29日
東急線乗車で貯まる「TOQ COIN」のチケット交換がスタート。東急全線や世田谷線などの1日乗車券に
2025年4月2日
東急世田谷線が開業100周年。玉川線とあわせて歴史を振り返る
2025年5月7日